logo
قیمت خوب  آنلاین

جزئیات محصولات

خونه > محصولات >
تثبیت کننده نور
>
Chiguard 101WB CAS 129757-67-1 افزودنی برای تثبیت نور

Chiguard 101WB CAS 129757-67-1 افزودنی برای تثبیت نور

نام تجاری: Keyou
شماره مدل: چیگارد 101WB
مقدار تولیدی: 1 مجموعه
قیمت: negotiable
جزئیات بسته بندی: سطل آهنی
شرایط پرداخت: T/T، Paypal، وسترین یونیون
جزئیات اطلاعات
محل منبع:
گوانگژو، چین
نام:
Chiguard 101WB شماره CAS 129757-67-1 ثبات دهنده نور
شماره CAS:
129757-67-1
وزن مولکولی:
737g/mol
ویسکوزیته:
5 سی سی
محتوای جامد:
31 تا 34 درصد
عناصر فعال:
29 تا 31 درصد
ظاهر:
امولسیون شیری سفید
چگالی اندازه ذرات:
< 500 نانومتر 0.98 g/cm³
pH:
6-8
قابلیت ارائه:
1000000 کیلوگرم/کیلوگرم در روز
برجسته کردن:

چیگارد 101WB,کاس 129757-67-1,افزودنی برای تثبیت نور

,

CAS 129757-67-1

,

light stabilizer additive

توضیحات محصول

شماره CAS 153519-44-9 UV Absorber hydroxyphenyl triazine برای پوشش های با عملکرد بالا
 
توضیحات
 

 
Chiguard® 101WBیک امولسیون غیر قلیایی با استقرار دهنده نور آمینه مانع شده (HALS) به عنوان ماده فعال است که برای کاربردهای پوشش مبتنی بر آب طراحی شده است.این ماده به ویژه برای رزین های آلکیدی قابل پراکندگی در آب و پلی اورتان های قابل پراکندگی در آب که با قلیایی Chiguard® 353 ناسازگار هستند مناسب است.همچنین توصیه می شود که به سیستم هایی با کاتالیزورهای اسیدی، قارچ کش ها و غیره اضافه شود.
 
ویژگی ها و مزایای اصلی محصول
Chiguard® 101WB دارای مزایای منحصر به فرد بسیاری است:
● محتوای امولسیفایر بسیار کم است و باعث ایجاد مشکلات مانند فوم شدن و از آب شدن نمی شود.
● می تواند به سرعت با رزین های آبی مخلوط شود.
● بر روان بودن پوشش تاثیر نمی گذارد.
● برای جلوگیری از مشکلات سازگاری، حاوی رزین، رقیق کننده و ضخیم کننده نیست.
● حاوی محلول ها یا مواد کمک کننده به شکل گیری فیلم نیست.
● می تواند با دیگر تثبیت کننده های نور مبتنی بر آب از ChiTi Technology در هر نسبت برای تشکیل یک امولسیون یکنواخت مخلوط شود.
 
درخواست ها
Chiguard ® 101WB به طور گسترده ای در بسیاری از کاربردهای آب استفاده می شود که به دلیل تأکید بر ویژگی های VOC پایین به سرعت در حال رشد هستند؛ نمونه های قابل توجه عبارتند از:
● پوشش PUD از چرم مصنوعی و پارچه برای صندلی و فضای داخلی خودرو.
● پوشش های چوبی مبتنی بر رزین های آلکیدی که در آب پراکنده می شوند.
● مواد بسته بندی و چسب بر اساس پلی اورتان های قابل پراکندگی در آب
ذخیره سازی
اگر در دمای اتاق نگهداری شود و تمامیت مهر و موم این محصول حفظ شود، عمر این محصول می تواند 12 ماه از تاریخ تولید باشد.مطمئن شوید که پوشش را قفل کنید تا از تبخیر رطوبت جلوگیری شود.دمای ذخیره سازی نباید کمتر از ۱۰ درجه سانتیگراد یا بالاتر از ۴۰ درجه سانتیگراد باشد، در غیر این صورت این امر بر کیفیت این محصول تأثیر منفی می گذارد.لطفا برای کمک به شرکت ما تماس بگیرید.
 
بسته بندی:
20 کیلوگرم بشکه پلاستیکی ضد ایستاتیک

 
داده های خاصیت فیزیکی

 

چسبندگی 5 سی سی
محتوای جامد ۳۱ تا ۳۴ درصد
مواد فعال 29 تا 31 درصد
ظاهر امولسیون سفید شیری
اندازه ذرات تراکم < 500 nm 0.98 g/cm3
pH 6 ~ 8

 

 

اطلاعات شیمیایی ماده فعال (تثبیت کننده نور آمین با مانع)
نام شیمیایی
محصولات واکنش di (((2،2,6،6-تترامتیل-4-پیپریدینل) سبات با ترت-بوتیل هیدروپروکسید و اکتان
شماره CAS: 129757-67-1
فرمول مولکولی: C44 H84 N2O6:
وزن مولکولی: 737 (متوسط)
 
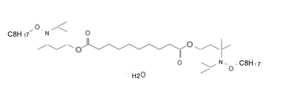
ساختار ماده فعال
Chiguard 101WB CAS 129757-67-1 افزودنی برای تثبیت نور 0
قیمت خوب  آنلاین

جزئیات محصولات

خونه > محصولات >
تثبیت کننده نور
>
Chiguard 101WB CAS 129757-67-1 افزودنی برای تثبیت نور

Chiguard 101WB CAS 129757-67-1 افزودنی برای تثبیت نور

نام تجاری: Keyou
شماره مدل: چیگارد 101WB
مقدار تولیدی: 1 مجموعه
قیمت: negotiable
جزئیات بسته بندی: سطل آهنی
شرایط پرداخت: T/T، Paypal، وسترین یونیون
جزئیات اطلاعات
محل منبع:
گوانگژو، چین
نام تجاری:
Keyou
شماره مدل:
چیگارد 101WB
نام:
Chiguard 101WB شماره CAS 129757-67-1 ثبات دهنده نور
شماره CAS:
129757-67-1
وزن مولکولی:
737g/mol
ویسکوزیته:
5 سی سی
محتوای جامد:
31 تا 34 درصد
عناصر فعال:
29 تا 31 درصد
ظاهر:
امولسیون شیری سفید
چگالی اندازه ذرات:
< 500 نانومتر 0.98 g/cm³
pH:
6-8
مقدار حداقل تعداد سفارش:
1 مجموعه
قیمت:
negotiable
جزئیات بسته بندی:
سطل آهنی
زمان تحویل:
7-30 روز کاری
شرایط پرداخت:
T/T، Paypal، وسترین یونیون
قابلیت ارائه:
1000000 کیلوگرم/کیلوگرم در روز
برجسته کردن:

چیگارد 101WB,کاس 129757-67-1,افزودنی برای تثبیت نور

,

CAS 129757-67-1

,

light stabilizer additive

توضیحات محصول

شماره CAS 153519-44-9 UV Absorber hydroxyphenyl triazine برای پوشش های با عملکرد بالا
 
توضیحات
 

 
Chiguard® 101WBیک امولسیون غیر قلیایی با استقرار دهنده نور آمینه مانع شده (HALS) به عنوان ماده فعال است که برای کاربردهای پوشش مبتنی بر آب طراحی شده است.این ماده به ویژه برای رزین های آلکیدی قابل پراکندگی در آب و پلی اورتان های قابل پراکندگی در آب که با قلیایی Chiguard® 353 ناسازگار هستند مناسب است.همچنین توصیه می شود که به سیستم هایی با کاتالیزورهای اسیدی، قارچ کش ها و غیره اضافه شود.
 
ویژگی ها و مزایای اصلی محصول
Chiguard® 101WB دارای مزایای منحصر به فرد بسیاری است:
● محتوای امولسیفایر بسیار کم است و باعث ایجاد مشکلات مانند فوم شدن و از آب شدن نمی شود.
● می تواند به سرعت با رزین های آبی مخلوط شود.
● بر روان بودن پوشش تاثیر نمی گذارد.
● برای جلوگیری از مشکلات سازگاری، حاوی رزین، رقیق کننده و ضخیم کننده نیست.
● حاوی محلول ها یا مواد کمک کننده به شکل گیری فیلم نیست.
● می تواند با دیگر تثبیت کننده های نور مبتنی بر آب از ChiTi Technology در هر نسبت برای تشکیل یک امولسیون یکنواخت مخلوط شود.
 
درخواست ها
Chiguard ® 101WB به طور گسترده ای در بسیاری از کاربردهای آب استفاده می شود که به دلیل تأکید بر ویژگی های VOC پایین به سرعت در حال رشد هستند؛ نمونه های قابل توجه عبارتند از:
● پوشش PUD از چرم مصنوعی و پارچه برای صندلی و فضای داخلی خودرو.
● پوشش های چوبی مبتنی بر رزین های آلکیدی که در آب پراکنده می شوند.
● مواد بسته بندی و چسب بر اساس پلی اورتان های قابل پراکندگی در آب
ذخیره سازی
اگر در دمای اتاق نگهداری شود و تمامیت مهر و موم این محصول حفظ شود، عمر این محصول می تواند 12 ماه از تاریخ تولید باشد.مطمئن شوید که پوشش را قفل کنید تا از تبخیر رطوبت جلوگیری شود.دمای ذخیره سازی نباید کمتر از ۱۰ درجه سانتیگراد یا بالاتر از ۴۰ درجه سانتیگراد باشد، در غیر این صورت این امر بر کیفیت این محصول تأثیر منفی می گذارد.لطفا برای کمک به شرکت ما تماس بگیرید.
 
بسته بندی:
20 کیلوگرم بشکه پلاستیکی ضد ایستاتیک

 
داده های خاصیت فیزیکی

 

چسبندگی 5 سی سی
محتوای جامد ۳۱ تا ۳۴ درصد
مواد فعال 29 تا 31 درصد
ظاهر امولسیون سفید شیری
اندازه ذرات تراکم < 500 nm 0.98 g/cm3
pH 6 ~ 8

 

 

اطلاعات شیمیایی ماده فعال (تثبیت کننده نور آمین با مانع)
نام شیمیایی
محصولات واکنش di (((2،2,6،6-تترامتیل-4-پیپریدینل) سبات با ترت-بوتیل هیدروپروکسید و اکتان
شماره CAS: 129757-67-1
فرمول مولکولی: C44 H84 N2O6:
وزن مولکولی: 737 (متوسط)
 
ساختار ماده فعال
Chiguard 101WB CAS 129757-67-1 افزودنی برای تثبیت نور 0